Нефть. Золото. Долги
С начала года в украинском информационном поле беспрерывно сталкиваешься с одним и тем же явлением. Целые группы «экспертов» и просто «бдительных патриотов» ждут-не дождутся, когда рухнет российская экономика. С этой целью они каждый день обсуждают колебания цен на нефть, радуются ослаблению курса рубля по отношению к доллару. Это, по их мнению, является свидетельством того, что Российскую Федерацию должна привести к «коллапсу» «нефтяная игла».
Что характерно, нашлись местные единомышленники (критики) у них и в России. Выдергивая отдельные данные и жонглируя ими, они принялись язвить, что российский рубль «не выдерживает конкуренцию с долларом», ведь его поддерживал «только нефтяной экспорт», в то время как в США основной внешнеторговой статьей являются «высокие технологии».
Достали «козырь», что между Россией и Китаем затормозилось сближение. Особый восторг у «друзей» России вызвал визит главы КНР Си Цзиньпиня на Ближний Восток, который проходит с 19 по 24 января. Он собирается договориться с Саудовской Аравией, Ираном и Египтом подписать соглашения о стратегическом партнерстве и о поставках дешевой нефти из этих стран. Делает это, не обращая внимания, что рынок углеводородов и так перенасыщен. Если миссия Си Цзиньпиня будет успешной, то цены на нефть в ближайшее время еще больше должны просесть.
Интересно, что не замечают простой факт: Россия и Китай партнеры, их связывают экономические интересы. Мир сегодня так устроен, что на первый план выходит суверенитет. Каждый сегодня руководствуется своими интересами. И ни у кого вы не найдете друзей. Чтобы убедится в этом, посмотрите на отношения Соединенных Штатов и Евросоюза.
Пекин в этой ситуации реализует свой экономический интерес. Он пытается получить за бесценок доступ к ресурсам, расталкивая продукцию собственной промышленности. В этом контексте и следует рассматривать визит Си Цзиньпина на Ближний Восток, вслед за которым должно последовать турне по африканским странам. Ничего личного, только бизнес. Такой принцип исповедует современный окружающий нас мир. Этот подход характерен для всех.
Интересно и то, что многим из развитых и развивающихся стран не зазорно сидеть на нефтяной, газовой или другой «игле». Более того, некоторые из крупнейших экономик занимаются перепродажей импортируемых из других государств углеводородов. Тот же ЕС реэкспортирует российский газ на Украину. Солидную статью в экспорте США и Индии занимают нефтепродукты, а у Германии — нефтяной газ. Заметим, что все три страны нефть и газ импортируют.
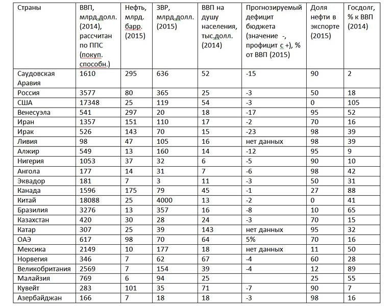
Доля нефти и газа в экспорте Норвегии, Ирана и Казахстана намного выше, чем у России. Но при этом никто не говорит о коллапсе их экономик. Точно также об экономической разрухе речь не идет, когда говорят о Саудовской Аравии, Катаре, Кувейте, Алжире, Венесуэле и целом ряде других зависящих от продажи углеводородов стран. А получающий более 50% своей экспортной выручки за счет нефти Эквадор Соединенные Штаты с удовольствием приняли в долларовую зону. И сегодня доллар официально является расчетной денежной единицей в этой латиноамериканской стране. Разве кто-то в Вашингтоне вопит об эквадорской «нефтяной игле»? Наоборот, всеми силами стараются удержать Кито в орбите собственного влияния.
Объясняется это просто: госдолг США сегодня составляет 105% от ВВП. Очевидно, что если кто-то долги накапливает, то кто-то их должен погашать, выплачивать, чтобы такие как Соединенные Штаты могли их наращивать еще. И если заглянуть в статистические данные Эквадора, то несложно найти, что внешние займы (по состоянию на 1 января 2015 года) составляли 31% от ВВП. Но благодаря тому, что Кито находится в долларовой зоне, одному из своих должников — США, эквадорское правительство претензии никогда не предъявит. Не попрекнет, что Соединенные Штаты живут за чужой счет.
Складывается впечатление, что именно этого по отношению к России хотят заказчики нынешней критической кампании в адрес российской экономики в Вашингтоне. Ведь находясь вне долларовой зоны, Москва когда-то может поставить вопрос: кто кого кормит? США с госдолгом в 105% от ВВП? Япония с рекордными 246%? Франция со своими 98%? Великобритания с 89%? Германия с 75%? Или все же Россия с 18%?!
Напомнит Москва, что при «нефтяной игле» углеводороды необходимо добывать в вечной мерзлоте и создавать для их транспортировки огромную инфраструктуру. Чтобы в результате обеспечить экономическую стабильность ЕС.
Восстановит у Запада в памяти, что именно энергетика сегодня является ключевой мировой отраслью, от которой зависит благополучие всех стран нашей планеты. Без нее не будет производства гаджетов, как без воды и углерода не станет людей.
Наконец, раскроет вранье, что Россия «впустую» тратит доходы от экспорта углеводородов. А в том, что это не так любой желающий может убедиться, сравнив Российскую Федерацию с высокоразвитой Канадой. Этот североамериканский гигант имеет запасы нефти в два раза больше чем РФ. 175 миллиардов канадских баррелей против 80 российских. При несравненно более низкой численности населения (36 миллионов канадцев против 147 миллионов россиян) ВВП на душу населения у Канады всего 45 тысяч долларов против 25 тысяч России. Как минимум это говорит о том, что эффективность российской экономической политики не такая уж кошмарная, как ее рисуют. Зато благодаря экспорту углеводородов Россия смогла накопить такой объем золотовалютных резервов, который выше не то, что канадского, но даже американского. У Москвы в кармане 365 миллиардов долларов против 119 миллиардов у США и 175 миллиардов у Канады.
Знакомясь с этими фактами, хотелось бы пожелать российским «друзьям» прежде, чем обвинять Москву в нефтяной «зависимости», хоть иногда заглядывать в статистику. Там много чего интересного можно найти.
А в качестве начального учебного материала, предлагаю составленную собственными силами статистическую таблицу:

Юрий Городненко
Что характерно, нашлись местные единомышленники (критики) у них и в России. Выдергивая отдельные данные и жонглируя ими, они принялись язвить, что российский рубль «не выдерживает конкуренцию с долларом», ведь его поддерживал «только нефтяной экспорт», в то время как в США основной внешнеторговой статьей являются «высокие технологии».
Достали «козырь», что между Россией и Китаем затормозилось сближение. Особый восторг у «друзей» России вызвал визит главы КНР Си Цзиньпиня на Ближний Восток, который проходит с 19 по 24 января. Он собирается договориться с Саудовской Аравией, Ираном и Египтом подписать соглашения о стратегическом партнерстве и о поставках дешевой нефти из этих стран. Делает это, не обращая внимания, что рынок углеводородов и так перенасыщен. Если миссия Си Цзиньпиня будет успешной, то цены на нефть в ближайшее время еще больше должны просесть.
Интересно, что не замечают простой факт: Россия и Китай партнеры, их связывают экономические интересы. Мир сегодня так устроен, что на первый план выходит суверенитет. Каждый сегодня руководствуется своими интересами. И ни у кого вы не найдете друзей. Чтобы убедится в этом, посмотрите на отношения Соединенных Штатов и Евросоюза.
Пекин в этой ситуации реализует свой экономический интерес. Он пытается получить за бесценок доступ к ресурсам, расталкивая продукцию собственной промышленности. В этом контексте и следует рассматривать визит Си Цзиньпина на Ближний Восток, вслед за которым должно последовать турне по африканским странам. Ничего личного, только бизнес. Такой принцип исповедует современный окружающий нас мир. Этот подход характерен для всех.
Интересно и то, что многим из развитых и развивающихся стран не зазорно сидеть на нефтяной, газовой или другой «игле». Более того, некоторые из крупнейших экономик занимаются перепродажей импортируемых из других государств углеводородов. Тот же ЕС реэкспортирует российский газ на Украину. Солидную статью в экспорте США и Индии занимают нефтепродукты, а у Германии — нефтяной газ. Заметим, что все три страны нефть и газ импортируют.
Доля нефти и газа в экспорте Норвегии, Ирана и Казахстана намного выше, чем у России. Но при этом никто не говорит о коллапсе их экономик. Точно также об экономической разрухе речь не идет, когда говорят о Саудовской Аравии, Катаре, Кувейте, Алжире, Венесуэле и целом ряде других зависящих от продажи углеводородов стран. А получающий более 50% своей экспортной выручки за счет нефти Эквадор Соединенные Штаты с удовольствием приняли в долларовую зону. И сегодня доллар официально является расчетной денежной единицей в этой латиноамериканской стране. Разве кто-то в Вашингтоне вопит об эквадорской «нефтяной игле»? Наоборот, всеми силами стараются удержать Кито в орбите собственного влияния.
Объясняется это просто: госдолг США сегодня составляет 105% от ВВП. Очевидно, что если кто-то долги накапливает, то кто-то их должен погашать, выплачивать, чтобы такие как Соединенные Штаты могли их наращивать еще. И если заглянуть в статистические данные Эквадора, то несложно найти, что внешние займы (по состоянию на 1 января 2015 года) составляли 31% от ВВП. Но благодаря тому, что Кито находится в долларовой зоне, одному из своих должников — США, эквадорское правительство претензии никогда не предъявит. Не попрекнет, что Соединенные Штаты живут за чужой счет.
Складывается впечатление, что именно этого по отношению к России хотят заказчики нынешней критической кампании в адрес российской экономики в Вашингтоне. Ведь находясь вне долларовой зоны, Москва когда-то может поставить вопрос: кто кого кормит? США с госдолгом в 105% от ВВП? Япония с рекордными 246%? Франция со своими 98%? Великобритания с 89%? Германия с 75%? Или все же Россия с 18%?!
Напомнит Москва, что при «нефтяной игле» углеводороды необходимо добывать в вечной мерзлоте и создавать для их транспортировки огромную инфраструктуру. Чтобы в результате обеспечить экономическую стабильность ЕС.
Восстановит у Запада в памяти, что именно энергетика сегодня является ключевой мировой отраслью, от которой зависит благополучие всех стран нашей планеты. Без нее не будет производства гаджетов, как без воды и углерода не станет людей.
Наконец, раскроет вранье, что Россия «впустую» тратит доходы от экспорта углеводородов. А в том, что это не так любой желающий может убедиться, сравнив Российскую Федерацию с высокоразвитой Канадой. Этот североамериканский гигант имеет запасы нефти в два раза больше чем РФ. 175 миллиардов канадских баррелей против 80 российских. При несравненно более низкой численности населения (36 миллионов канадцев против 147 миллионов россиян) ВВП на душу населения у Канады всего 45 тысяч долларов против 25 тысяч России. Как минимум это говорит о том, что эффективность российской экономической политики не такая уж кошмарная, как ее рисуют. Зато благодаря экспорту углеводородов Россия смогла накопить такой объем золотовалютных резервов, который выше не то, что канадского, но даже американского. У Москвы в кармане 365 миллиардов долларов против 119 миллиардов у США и 175 миллиардов у Канады.
Знакомясь с этими фактами, хотелось бы пожелать российским «друзьям» прежде, чем обвинять Москву в нефтяной «зависимости», хоть иногда заглядывать в статистику. Там много чего интересного можно найти.
А в качестве начального учебного материала, предлагаю составленную собственными силами статистическую таблицу:

Юрий Городненко
Новостной сайт E-News.su | E-News.pro. Используя материалы, размещайте обратную ссылку.
Оказать финансовую помощь сайту E-News.su | E-News.pro
Если заметили ошибку, выделите фрагмент текста и нажмите Ctrl+Enter (не выделяйте 1 знак)





