Невероятная месть кота Скрипалей
Вот вы не знали, а в Европе сейчас схватка питбулей под ковром. Немцы и британцы воюют за влияние, правда, пока только политически и экономически, добрый день, дорогие друзья.
Брекзит вышел Лондону боком, но британцы понимают, что другого выхода просто не было. Экономические и политические потери вполне допустимы, если стратегия выхода из Евросоюза предполагает, что дальше все будет только лучше, но вот именно с этим у Лондона проблемы и возникли.
Напомню, что референдум по разводу прошел еще в 2016 году. Тогда Соединенные пока Штаты еще были на высоте, Обама готовился к пенсии, а Дональд Трамп открыто поддержал Брекзит – иными словами, пять лет назад все выглядело очень кучеряво.
Прошло время, развод состоялся, между Берлином и Лондоном началась борьба за влияние в Европе и Британии понадобились сильные союзники в этой борьбе – и тут вдруг выяснилось, что выбор-то и не особо велик. У американцев куча внутренних проблем и противоречий, китайцы смотрят косо еще со времен Опиумных войн, в Евросоюзе почти все под лапой Брюсселя и Берлина (во всяком случае, в финансовом плане) и на карте мира осталась только одна влиятельная страна, способная стать ситуационным союзником Лондона в этой святой борьбе за еврокошелек.
Как вы понимаете, речь идет о России, но тут вдруг всплыли нюансы.
Напомню, что еще 4 марта 2018 года в британском Солсбери были отравлены ядом «Новичок» некто Сергей Скрипаль и его дочь Юлия. По поводу отравления Скрипалей было сломано уже столько копий, что их хватило бы на отопление Британии на несколько лет вперед – тем не менее, британцы так и не предоставили ни одного доказательства участия в отравлении российских спецслужб, ограничившись «хайли лайкли».
Когда пришло время Бори Джонсона добиваться встречи с кремлевским тираном Владом Путиным, вдруг оказалось, что в Кремле старательно закрывают уши, стараясь не слышать призывных воплей с туманных островов.
А встреча Джонсону нужна уже очень давно. Он даже не намекал, а прямо говорил об этом еще весной 2021 года – дескать, Влад Путин регулярно встречается с фрау канцлерин и откровенно игнорирует красавца Борю. Обидно же.
Кремль отмалчивался довольно долго. За это время Путин встретился с Байденом, проводил на пенсию фрау Меркель, высказался по поводу многих нехороших вещей, происходящих в мире – и ни разу не вспомнил о Британии.
Зато на призывные вопли из Лондона отреагировал Сергей Лавров – мол, в Кремле готовы выслушать Бориса, но только после того, как британцы прояснят ситуацию со Скрипалями. Перевожу: встретимся тогда, когда сознаетесь в содеянном, причем обязательно с фактами и доказательствами. В противном случае наш автоответчик расскажет вам все, что мы о вас думаем.
Британцы ломались долго, однако зима близко, а кушать хочется. Сознаться в спецоперации по дискредитации российской власти означает потерять лицо, причем все сразу и очень надолго. Такое не прощают, поэтому Лондону понадобилась новая спецоперация, чтобы признаться в старой. Иначе говоря, в Британии принялись искать стрелочников, на которых можно свалить что угодно.
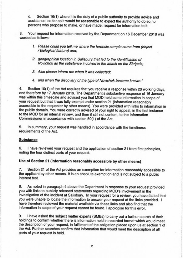
И вот наконец-то в сети появился любопытнейший документ Министерства обороны Великобритании, датированный еще 12 марта 2019 года:
Если верить написанному, то получается, что образцы крови Скрипалей могли быть подделаны, а следы боевого отравляющего вещества под грифом «Новичок» могли быть внесены в образцы значительно позже.
В чем тут суть? Протокол NHS Великобритании требует, чтобы форма запроса сопровождала все образцы, отправленные в лабораторию, и четко указывала точную, а не приблизительную дату и время сбора образцов.
Образцы крови Скрипалей были изъяты в какой-то момент между 16:15 4 марта 2018 года и 18:45 5 марта 2018 года (приблизительное время, согласно МО, когда образцы прибыли в DSTL Портон-Даун). Даже время прибытия в Портон-Даун указано как «приблизительное».
То есть у предполагаемых злоумышленников было двадцать пять часов, чтобы сделать с этими образцами что угодно? В том числе добавить в них «Новичок», чистый спирт и сахарную пудру для смеха?
Казалось бы, что в этом такого? Не все так просто – протоколы NHS требуют указывать не только точное время и дату сбора образцов, но и список всех до единого лиц, которые так или иначе с этими образцами контактировали. Причем как именно контактировали, тоже должно указываться особо.
Тот факт, что цепочка хранения этих образцов крови была нарушена, прямо указывает на то, что ими могли манипулировать и их могли подделывать, причем кто угодно, вплоть до Петрова с Бошировым.
Согласно документу Министерства обороны Великобритании, нет никакой информации о том, когда именно (дата и время) были взяты образцы крови. Следовательно, эти образцы являются недопустимыми доказательствами в суде, поскольку без надлежащей цепочки хранения образцы могли быть подвергнуты манипуляциям и загрязнены «Новичком», случайно или намеренно.
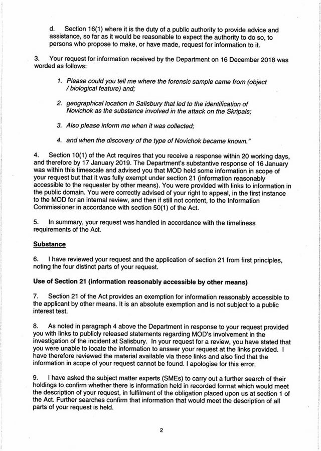
Вот как выглядит шаблон сборки и передачи цепочки хранения по протоколу NHS:
Отдельно указывается вся значимая информация – кто собрал, кому передал, когда образцы были помещены под охрану для исключения допуска к ним всяких нехороших лиц со злобными намерениями. Отдельно указывается, кто и когда проанализировал образцы, дабы исключить возможность подделки – и кто именно будет отвечать головой, если факт подделки все-таки всплывет.
Что тут еще интересно? От места сбора образцов до лаборатории Портон-Даун всего тринадцать километров. Или восемнадцать минут езды на автомобиле с учетом пробок и при соблюдении всех правил. По какой причине образцы везли более суток, британцы скромно умалчивают.
Однако здесь есть один неоспоримый факт – публикация этого документа означает то, что в Лондоне начали искать стрелочников, чтобы вывести из-под удара прошлое и нынешнее правительство.
Мол, это не мы такие русофобы, это нам нехорошие и безответственные люди подсунули – а мы-то поверили и давай обвинять Кремль и Путина. Правда, тут тоже есть свои нестыковки: Окружная больница Солсбери объявила о «серьезном инциденте» в понедельник, 5 марта 2018 года, «после того, как два пациента подверглись воздействию опиоида под названием Фентанил».
Как бы то ни было, Лондон услышал главу МИД России. Публикация этого документа ставит крест на очень многих западных предположениях и утверждениях, приписываемых Москве и ее неуемному желанию потравить всех своих вражин – и он же ставит под серьезнейшее сомнение еще более раннюю историю с Литвиненко.
Честно говоря, после этого документа в Берлине следует объявить национальный праздник с фейерверками и карнавалом, ибо сам этот факт показывает, в каком безвыходном положении сегодня находится Британия. Искать и налаживать отношения со своим вековым заклятым врагом – это, знаете ли, тот еще симптом британского «благополучия».
Осталось дождаться, что на это ответит Кремль и Сергей Викторович. Впрочем, я бы особо не спешил – это еще не признание вины, а слабая попытка найти виноватых в провале.
А вот когда Лондон открыто признает факт фальсификации по делу Скрипалей, тогда можно и поговорить. По телефону.
Визит в Москву еще заслужить надо.
Ну и да, за кота тоже ответить придется.
Источник: (Дзен)
Ну и вдовесок странная фотография…
Брекзит вышел Лондону боком, но британцы понимают, что другого выхода просто не было. Экономические и политические потери вполне допустимы, если стратегия выхода из Евросоюза предполагает, что дальше все будет только лучше, но вот именно с этим у Лондона проблемы и возникли.
Напомню, что референдум по разводу прошел еще в 2016 году. Тогда Соединенные пока Штаты еще были на высоте, Обама готовился к пенсии, а Дональд Трамп открыто поддержал Брекзит – иными словами, пять лет назад все выглядело очень кучеряво.
Прошло время, развод состоялся, между Берлином и Лондоном началась борьба за влияние в Европе и Британии понадобились сильные союзники в этой борьбе – и тут вдруг выяснилось, что выбор-то и не особо велик. У американцев куча внутренних проблем и противоречий, китайцы смотрят косо еще со времен Опиумных войн, в Евросоюзе почти все под лапой Брюсселя и Берлина (во всяком случае, в финансовом плане) и на карте мира осталась только одна влиятельная страна, способная стать ситуационным союзником Лондона в этой святой борьбе за еврокошелек.
Как вы понимаете, речь идет о России, но тут вдруг всплыли нюансы.
Напомню, что еще 4 марта 2018 года в британском Солсбери были отравлены ядом «Новичок» некто Сергей Скрипаль и его дочь Юлия. По поводу отравления Скрипалей было сломано уже столько копий, что их хватило бы на отопление Британии на несколько лет вперед – тем не менее, британцы так и не предоставили ни одного доказательства участия в отравлении российских спецслужб, ограничившись «хайли лайкли».
Когда пришло время Бори Джонсона добиваться встречи с кремлевским тираном Владом Путиным, вдруг оказалось, что в Кремле старательно закрывают уши, стараясь не слышать призывных воплей с туманных островов.
А встреча Джонсону нужна уже очень давно. Он даже не намекал, а прямо говорил об этом еще весной 2021 года – дескать, Влад Путин регулярно встречается с фрау канцлерин и откровенно игнорирует красавца Борю. Обидно же.
Кремль отмалчивался довольно долго. За это время Путин встретился с Байденом, проводил на пенсию фрау Меркель, высказался по поводу многих нехороших вещей, происходящих в мире – и ни разу не вспомнил о Британии.
Зато на призывные вопли из Лондона отреагировал Сергей Лавров – мол, в Кремле готовы выслушать Бориса, но только после того, как британцы прояснят ситуацию со Скрипалями. Перевожу: встретимся тогда, когда сознаетесь в содеянном, причем обязательно с фактами и доказательствами. В противном случае наш автоответчик расскажет вам все, что мы о вас думаем.
Британцы ломались долго, однако зима близко, а кушать хочется. Сознаться в спецоперации по дискредитации российской власти означает потерять лицо, причем все сразу и очень надолго. Такое не прощают, поэтому Лондону понадобилась новая спецоперация, чтобы признаться в старой. Иначе говоря, в Британии принялись искать стрелочников, на которых можно свалить что угодно.
И вот наконец-то в сети появился любопытнейший документ Министерства обороны Великобритании, датированный еще 12 марта 2019 года:
Если верить написанному, то получается, что образцы крови Скрипалей могли быть подделаны, а следы боевого отравляющего вещества под грифом «Новичок» могли быть внесены в образцы значительно позже.
В чем тут суть? Протокол NHS Великобритании требует, чтобы форма запроса сопровождала все образцы, отправленные в лабораторию, и четко указывала точную, а не приблизительную дату и время сбора образцов.
Образцы крови Скрипалей были изъяты в какой-то момент между 16:15 4 марта 2018 года и 18:45 5 марта 2018 года (приблизительное время, согласно МО, когда образцы прибыли в DSTL Портон-Даун). Даже время прибытия в Портон-Даун указано как «приблизительное».
То есть у предполагаемых злоумышленников было двадцать пять часов, чтобы сделать с этими образцами что угодно? В том числе добавить в них «Новичок», чистый спирт и сахарную пудру для смеха?
Казалось бы, что в этом такого? Не все так просто – протоколы NHS требуют указывать не только точное время и дату сбора образцов, но и список всех до единого лиц, которые так или иначе с этими образцами контактировали. Причем как именно контактировали, тоже должно указываться особо.
Тот факт, что цепочка хранения этих образцов крови была нарушена, прямо указывает на то, что ими могли манипулировать и их могли подделывать, причем кто угодно, вплоть до Петрова с Бошировым.
Согласно документу Министерства обороны Великобритании, нет никакой информации о том, когда именно (дата и время) были взяты образцы крови. Следовательно, эти образцы являются недопустимыми доказательствами в суде, поскольку без надлежащей цепочки хранения образцы могли быть подвергнуты манипуляциям и загрязнены «Новичком», случайно или намеренно.
Вот как выглядит шаблон сборки и передачи цепочки хранения по протоколу NHS:
Отдельно указывается вся значимая информация – кто собрал, кому передал, когда образцы были помещены под охрану для исключения допуска к ним всяких нехороших лиц со злобными намерениями. Отдельно указывается, кто и когда проанализировал образцы, дабы исключить возможность подделки – и кто именно будет отвечать головой, если факт подделки все-таки всплывет.
Что тут еще интересно? От места сбора образцов до лаборатории Портон-Даун всего тринадцать километров. Или восемнадцать минут езды на автомобиле с учетом пробок и при соблюдении всех правил. По какой причине образцы везли более суток, британцы скромно умалчивают.
Однако здесь есть один неоспоримый факт – публикация этого документа означает то, что в Лондоне начали искать стрелочников, чтобы вывести из-под удара прошлое и нынешнее правительство.
Мол, это не мы такие русофобы, это нам нехорошие и безответственные люди подсунули – а мы-то поверили и давай обвинять Кремль и Путина. Правда, тут тоже есть свои нестыковки: Окружная больница Солсбери объявила о «серьезном инциденте» в понедельник, 5 марта 2018 года, «после того, как два пациента подверглись воздействию опиоида под названием Фентанил».
Как бы то ни было, Лондон услышал главу МИД России. Публикация этого документа ставит крест на очень многих западных предположениях и утверждениях, приписываемых Москве и ее неуемному желанию потравить всех своих вражин – и он же ставит под серьезнейшее сомнение еще более раннюю историю с Литвиненко.
Честно говоря, после этого документа в Берлине следует объявить национальный праздник с фейерверками и карнавалом, ибо сам этот факт показывает, в каком безвыходном положении сегодня находится Британия. Искать и налаживать отношения со своим вековым заклятым врагом – это, знаете ли, тот еще симптом британского «благополучия».
Осталось дождаться, что на это ответит Кремль и Сергей Викторович. Впрочем, я бы особо не спешил – это еще не признание вины, а слабая попытка найти виноватых в провале.
А вот когда Лондон открыто признает факт фальсификации по делу Скрипалей, тогда можно и поговорить. По телефону.
Визит в Москву еще заслужить надо.
Ну и да, за кота тоже ответить придется.
Источник: (Дзен)
Ну и вдовесок странная фотография…
Новостной сайт E-News.su | E-News.pro. Используя материалы, размещайте обратную ссылку.
Оказать финансовую помощь сайту E-News.su | E-News.pro
Если заметили ошибку, выделите фрагмент текста и нажмите Ctrl+Enter (не выделяйте 1 знак)















