Спасет ли сельское хозяйство Украину?

Часть 1
Украина стоит на пороге дефолта. Если это случится, и внешнее финансирование будет прекращено, то страна сможет покупать импортные товары только взамен экспортируемых. Фактически, этот принцип работает уже сейчас. Все деньги, которые приходят из-за рубежа, уходят на оплату внешних долгов, а валютные резервы НБУ не резиновые. Именно поэтому важно оценить, что и в каком количестве сможет Украина продать на внешних рынках, и, соответственно, сколько денег за это может быть получено.
На днях министр сельского хозяйства Украины Алексей Павленко выдал на-гора свой доклад, в котором обрисовал ситуацию в подконтрольном ведомстве. Как и положено — полная «пэрэмога», а в ЛДНР и Крыму — полная «зрада». Я решил проверить тезисы данного труда и оценить его при помощи службы государственной статистики. Получилось любопытно….
Украина обладает колоссальным сельскохозяйственным потенциалом. В последние годы правления Януковича в агропромышленный комплекс Украины были сделаны значительные инвестиции, наблюдался постоянный рост производства. В первую очередь, в растениеводстве. Строились элеваторы, зернохранилища, закупалась техника. Этому также способствовала ценовая динамика на рынке продуктов.
В начале второго десятилетия 21 века цены на зерно (главный экспортный продукт Украины) росли и били рекорд за рекордом. Пришедшие на смену Януковичу евродемократы смогли собрать урожай (и в прямом, и в переносном смысле), заложенный еще «попередниками». Он получился рекордным. Даже без учета отпавшего Крыма и боев на Донбассе Украина собрала рекордные 63 млн тонн зерна. Яценюк этим весьма хвалился. Но в сельском хозяйстве оценки работе надо давать не через несколько месяцев, а хотя бы через год. Этот год прошел. Пора подводить некоторые итоги.
Первая посевная кампания при правительстве Яценюка фактически закончилась.
В 2014 году всего посеяно 14,9 млн га зерновых. Из них 6,2 озимые (данные совпали).
В 2015 году 12,8 млн га зерновых. Из них 6 млн га озимые. А вот тут конфуз. Павленко для 2014 года взял данные по посевам озимых, которые успешно перезимовали, а в 2015 году те, что посеяли осенью. Плюс накинул 400 тыс. га. Всего было посеяно 7,63 млн га. Вышло из зимы 6 млн га. Отбрасываем Крым (под зерном 500 тысяч га в 2014) и ЛДНР (под зерном около 500 тысяч га в 2014). Итого надо откинуть миллион га (либо 0,5 млн га, если Крым был вычеркнут в 2014 году).
Итого по зерновым имеем: 1,1 млн га или – 1,6 млн га (уже за вычетом «оккупированных» территорий).
Кстати, это только по зерновым. Оно понятно. Зерно стало главным экспортным продуктом Украины, и на него брошены все ресурсы.
Министр Павленко «забыл» упомянуть свои достижения по другим культурам. А ему есть чем похвастаться.
Под технические культуры засеяно 7,6 млн га, а в прошлом году — 8,3 млн га. И тут Крым и южный Донбасс ни при чем. Там их не сеют. Итого минус 0,7 млн га.
По картошке и овощам, которые выращиваются не в огороде, а в полях: 1,8 млн га, против 1,9 млн га. Здесь паритет, потому как данные культуры сажали в неподконтрольных территориях.
Кормовые культуры. Паритет. По 2,1 млн га.
Итого имеем существенный спад по посевам зерновых (мы поправили странную забывчивость министра) и по техническим культурам. Причем процент падения ярового клина скрывает относительно высокий процент сева озимых осенью, а весенняя кампания, судя по данным статистики, прошла с минусом 10–15% в среднем. Да, это не крах. Но недосев площадей имеет место быть на уровне минимум 1,8 млн га уже за вычетом всего, что можно.
Урожай 2015 года.
Зерновые. По зерновым, исходя из посевной площади и сохранения урожайности на уровне прошлогодней, будем иметь 52–53 млн тонн. Дальнейшие коррективы возможны за счет погоды. Напомню, что прошлогодний урожай был рекордным. Внутреннее потребление Украины составит в 2014–15 маркетинговом году (до 1 июля) 29,2 млн тонн. Прогноз на следующий год около 28 млн тонн. Значит, в случае повторения благоприятных погодных условий на экспорт можно будет отправить до 25 млн тонн.
Последние прогнозы из-за рубежа дают экспорт в 2015/16 МГ 28–29 млн. тонн, но они исходят из 55–56 млн тонн урожая.
В заканчивающемся маркетинговом году Украина может экспортировать до 34 млн тонн (излишек плюс часть переходящих остатков). За это будет выручено (он еще не закончился) 6,0–6,2 млрд долларов. В среднем украинское зерно продавалось по 179–180 долларов за тонну. Кстати, в начале МГ цены были на уровне 210–220 долларов за тонну.
Справочно. 2013/14 МГ экспорт составил 6,87 млрд долларов (за 32,4 млн тонн). При средней цене 212 долларов за тонну.
С учетом высоких прогнозов на урожай этого года и высокие остатки прошлогоднего урожая, пока прогнозы по ценам для продавцов неблагоприятны. В лучшем случае, они останутся на уровне прошлого года, но, скорее всего, незначительно снизятся.
При экспорте в 25 млн тонн и ценах в 150–170 долларов (самый реальный вариант) это будет 3,75–4,25 млрд долларов.
При экспорте 29 млн тонн и тех же ценах — 4,35–4,93 млрд долларов.
Общий вывод по зерну. За текущий маркетинговый год Украина, несмотря на рост поставок зерна на 1,6 млн тонн, получит на 800 млн долларов меньше выручки, нежели в предыдущем маркетинговом году. Прогнозы на следующий год как по ценам, так и по объемам дают основания считать, что валютная выручка Украины от продажи зерна упадет на 1,1 млрд долларов в благоприятном прогнозе и на 2,4 млрд долларов в неблагоприятном.
Подсолнечник. Второй культурой, которая дает значительную экспортную выручку, является подсолнечник, вернее, подсолнечное масло. Доля Украины в мировой торговле этим продуктом составляет около 50% всего рынка. Фактически монополист. Что готовит новый год для этого «продукта»?
В 2014 году произведено 4,225 млн тонн подсолнечного масла. Экспорт составил 3,7 млн тонн на сумму 3,56 млрд долларов. Вместе со шротом (отходы) и семенами валютный «выторг» составил 4,8 млрд долларов.
Первые четыре месяца 2015 года дают экспорт 1,2 млн тонн масла против 1,5 млн тонн годом ранее. Это связано с падением остатков прошлогоднего урожая на 1 мая 2015 года на 32,7%.
Посевные площади под эту культуру снижены в 2015 году на 7%. Ждем урожай. Цены пока держатся на уровне прошлого года с небольшой тенденцией к снижению. Если средняя урожайность подсолнечника составит прошлогодние 20 ц/га, то падение экспортной выручки составит до 500 млн долларов по отрасли.
Выводы. Для растениеводства, основной отрасли украинского экспорта, настали плохие времена. Стать локомотивом у нее не получится. Спад экспорта сельхозпродукции связан как с плановым сокращением сбора основных экспортных культур, так и с неблагоприятной ценовой конъюнктурой.
P.S. Маркетинговый год я для простоты считал с 1 июля по 30 июня.
Источник

Часть 2
В первой части мы рассмотрели растениеводство Украины — перспективы ее двух главных экспортных отраслей. Перспективы не радужные. А животноводство — это основа устойчивости страны. Ее продовольственная независимость. В Средние века и позже основой рациона населения была растительная пища. Потребление мяса считалось признаком достатка. Обильное потребление мяса — богатства. Только с внедрением интенсивных технологий в животноводстве в 20 веке страны Европы получили изобилие в пище. Они этим очень дорожат, а потому всячески опекают свое сельское хозяйство. Особенно животноводство, которое является основой их продовольственной безопасности.
СССР оставил в наследство Украине не только развитую промышленность, но и сельское хозяйство.

Как видим, независимость даром не прошла. Но во втором десятилетии 21 века наметился некоторый подъем. Причем именно в это время рентабельность сельского хозяйства Украины достигла максимальных значений: более 20%. В 2011 году даже 27%.
Второй Майдан вносит коррективы.
Поголовье
После прихода к власти в Киеве нынешнего режима прошло достаточное количество времени, чтобы начать делать выводы.
Из первой таблицы видно, что поголовье крупного рогатого скота за прошлый год резко упало. Разница 650 тысяч голов. Крым на 1 января 2014 года — это 134 тысячи. Донбасс суммарно 240 тысяч, но подавляющее большинство стад располагалось на территориях, подконтрольных Киеву. Другое дело, что солдаты с ними сделали? На 1 января 2015 года, по статистике, осталось 165 тысяч голов.
Итого: на войну можно списать 209 тысяч голов. 440 тысяч — это уже потери так называемой континентальной Украины. Или 10% всего стада. Такой процент потерь на Украине был только в 1995–1998 годы, когда стада вырезались особенно сильно.
Остальная живность:
Свиньи — минус 568 тысяч голов. С учетом потерь территорий — 272 тысячи голов.
Овцы — минус 364 тысячи голов. С учетом потерь территорий — 77 тысяч голов.
Птица — минус 17 миллионов голов. С учетом потерь территорий — РОСТ 4,7 млн. голов (за счет Винницкой области).
Причем, как показывает статистика уже этого года (на 1 июня), по отношению к аналогичному периоду прошлого года и с учетом потери территории, прошлый год был переломным в падении. Одно поголовье имело большую инерцию роста, другое меньшую:
крупный рогатый скот (-8%)
свиньи (-3%)
овцы (-6,8%)
птица (-7,3%)
Промежуточный вывод: поголовье начало падать. Причем даже в тех отраслях, где был устойчивый положительный тренд (птица), падение приняло угрожающее значение.
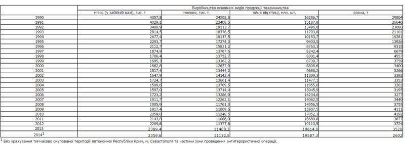
Смотрим производство основных продуктов питания:

Мяса, даже с учетом отколовшихся территорий, стало больше. А с учетом проблем с поставками этого продукта за рубеж — Европе его и даром не надо, а Россия поставила «кордон» — думаю, не надо объяснять, почему цены на мясо такие низкие. Это следствие ВРЕМЕННОГО переизбытка на внутреннем рынке. Просто и банально: хозяйства сводят поголовье и продают его по той цене, по которой люди его согласны покупать.
Кстати. Спрос на фуражное зерно в прошлом году упал почти на 1 миллион тонн. В этом предсказывают ту же тенденцию. Значит, и дальше скот будет резаться ради короткого эффекта стабильных цен на этот продукт, но что будет потом?
Как долго это будет? Пока будет сводиться поголовье. Но чем дольше это будет продолжаться, тем тяжелее будет «похмелье». А оно будет продолжаться. Рентабельность производства мяса ушла в глубокий минус (в долларах), а значит, Украина прочно сядет на импортное мясо со всеми вытекающими ценовыми и качественными последствиями. Здравствуй, польское «рентабельное» мясо.
Молоко и яйца
Та же картина, что и по мясу. Падение по молоку незначительно, гораздо меньше, чем по населению страны. По яйцам его и вовсе нет. А потому и дешево. Причем рентабельность производства молока была высокой, яиц вообще космической (в 2013 году по молоку показатель составил 13,6%, по яйцам 47,6%). Можно предположить, что с этой стороны населению ничего не угрожает еще очень долго.
Сельское хозяйство в разрезе ВВП
Для макропоказателей важны не тонны и штуки, а гривны. ВВП считается в деньгах. Последние два года ВВП Украины немного поддерживали отличные урожаи. В 2013 году рост ВВП по сельскому хозяйству был 13,3% (растениеводство 17,9%, животноводство 4%) при нулевом росте за год в целом, а в 2014 — 2,2% (растениеводство 3,2%, животноводство -0,3%) при падении годового ВВП на 7,5%.
Начало 2015 года дало уже заметное падение. За первые пять месяцев это 5,4%. Но скорость падения постоянно растет. За май падение составило 7,3%. Если урожай не повторит прошлогодних показателей, то падение во втором полугодии резко усилится. А значит, сельское хозяйство из палочки выручалочки может превратиться в ускоритель экономического падения Украины.
Экспорт — импорт
Продукция сельского хозяйства Украины традиционно составляла значительную долю в экспорте страны. До Майдана 2.0 его доля была 25%. Сейчас 36,5%. Нет, роста не произошло. Просто прошлогодний рекордный урожай зерновых составил почти половину этой суммы, а цены и объемы по остальным секторам экспорта падали намного быстрее. В целом, по отношению к первому кварталу 2014 года падение сельскохозяйственного экспорта Украины составило 15,6%. Большая часть экспорта — это продукция растениеводства, перспективы которого были описаны в первой части. Там ожидается существенное падение от 10 до 30% в зависимости от урожая.
По продуктам животноводства первый квартал 2015 года дал падение экспорта на 25,4%. Так, молочная отрасль показала падение в 45,5%, но зато мясо осталось в плюсе на 5,5% (следствие вырезания стад) и … Крыма.
Россия увеличила импорт мясной продукции в 1,55 раза (по итогу первого квартала 2015 года). Крым съел весь прирост экспорта и даже чуть больше. Хотя это вообще смешные суммы (рост экспорта мяса Украиной на 4 млн долларов, а рост потребления украинского мяса Россией — на 6 млн долларов). В основном Украина потеряла рынок России еще в прошлом году, а в Европе и своего молока, мяса и яиц хватает. Фактический экспорт этих продуктов в страны ЕС — НУЛЬ.
Импорт сельхозпродукции в первом квартале 2015 года также упал на 46,5% (или на 906 млн долларов). Это следствие относительного удешевления отечественной продукции и переизбытка ее на внутреннем рынке. Думаю, этот процесс и дальше будет продолжен.
Выводы
Сельское хозяйство Украины, вслед за промышленностью и торговлей, скатывается в глубокий кризис. Кризис животноводства вызван потерей традиционных рынков и резким падением уровня доходов населения страны. В растениеводстве ситуация хоть и не столь печальна, но высокая планка прошлых лет вряд ли будет удержана в 2015 году, а падение цен на традиционные экспортные товары Украины: зерно (особенно) и подсолнечное масло — позволяют предположить, что вместе с падением производства этих товаров Украину ждет и существенное сокращение экспорта товаров сельскохозяйственного происхождения.
Импорт сельхозпродукции на Украину падает с опережающими значениями. И это пока единственная хорошая для Украины новость.
Источник
Новостной сайт E-News.su | E-News.pro. Используя материалы, размещайте обратную ссылку.
Оказать финансовую помощь сайту E-News.su | E-News.pro
Если заметили ошибку, выделите фрагмент текста и нажмите Ctrl+Enter (не выделяйте 1 знак)





