Украина: Суицид
Вы никогда не задумывались, а при каком уровне здоровых мужчин нация может считать ся уже мёртвой или же неисправимо демографически повреждённой. Сколько ещё собирается Киев убить здоровых мужиков, чтобы нация «украинец» просто перестала существовать?
На Украине после обретения долгожданной независимости и отделения от ненавистной Москвы с демографией сразу не заладилось.
Что интересно, на «Держстат України» почему-то старательно прячут данные по 2015 году, а данные 2014 года не менее старательно мухлют. Видимо, совсем уже неприглядно всё выглядит.
Посмотрите на график - так нагляднее.
Особенно линии трендов показательные. У количества новорождённых тенденция к снижению, у количества умерших тенденция в росту. Естественно, что прирост отрицательный, и линия тренда показывает, что ситуация меняться не собирается.
Гендерная статистика Украины тоже заставляет задуматься. Особенно если сравнить убыль мужского населения по разным причинам в сравнении с последним годом правления «Панды» и годами «Революции Достоинства».
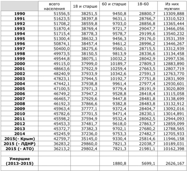
Нехитрыми арифметическими подсчётами легко определить, что всего за два года на Украине стало меньше мужчин на 4 204 407 человек. По разным причинам, смерть, иммиграция, проживание в Крыму или ЛДНР, гибель в АТО.
В при этом отмечу, что в случае гибели в АТО, погибают наиболее активные и репродуктивные индивиды в возрасте от 18 до 55 лет.
Всего за годы правления «Революции достоинства» умерло или были убиты 5 700 000 граждан Украины. Из них мужчин в возрасте от 18 до 60 лет - 2 миллиона 626 тысяч. Украинская мечта «вид Сяну до Дону» съеживается и сокращается вместе с этими цифрами.
Есть такой показатель на войне - непоправимыми потерями для генофонда и репродуктивного воспроизводства народа являются 20% мужчин от 18 до 60 лет.
То, что мы сейчас видим, это осознанный суицид Украины, которые совсем скоро обернётся демографической пропастью, когда некем будет заполнять 1-3 классы школ, а потом 1 курсы институтов и университетов.
И добавим ещё немаловажный факт. Анестезиологи больниц, куда поступают раненые из АТО, сообщают, что на анестезию крайне плохо реагируют 2 из 3 боевиков АТО. Вы представляете эту цифру? Две трети участников АТО уже наркоманы, неспособные с нормальной жизни и качественному воспитанию и воспроизводству детей.
По сравнению с периодом, когда правила «Панда», убыль мужского репродуктивного населения в возрасте от 18 до 60 лет составила 20,5%.
Порог уже перейдён.
Демографический суицид украинского народа уже состоялся. А так как Киев в лице команды Порошенко, Яценюка, Турчинова, Авакова не намеревается прекращать гражданскую войну на Востоке, то суицид продолжится. До полного исчезновения украинского народа.
Дмитрий Дзыговбродский
Новостной сайт E-News.su | E-News.pro. Используя материалы, размещайте обратную ссылку.
Оказать финансовую помощь сайту E-News.su | E-News.pro
Если заметили ошибку, выделите фрагмент текста и нажмите Ctrl+Enter (не выделяйте 1 знак)










